Beweis der Konstrunktion nach Jo Niemeyer

Stablänge  y = 1

 

1. Stab : senkrecht

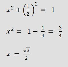
2. Stab :
Mitte Stab 1 zur x-Achse

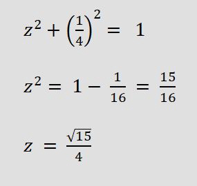
3. Stab :
Mitte Stab 2 zur x-Achse

Niemeyer

Für Stab 2 gilt Pythagoras :

für Stab 3 gilt Pythagoras :

Niemeyer_f1
Niemeyer_f2

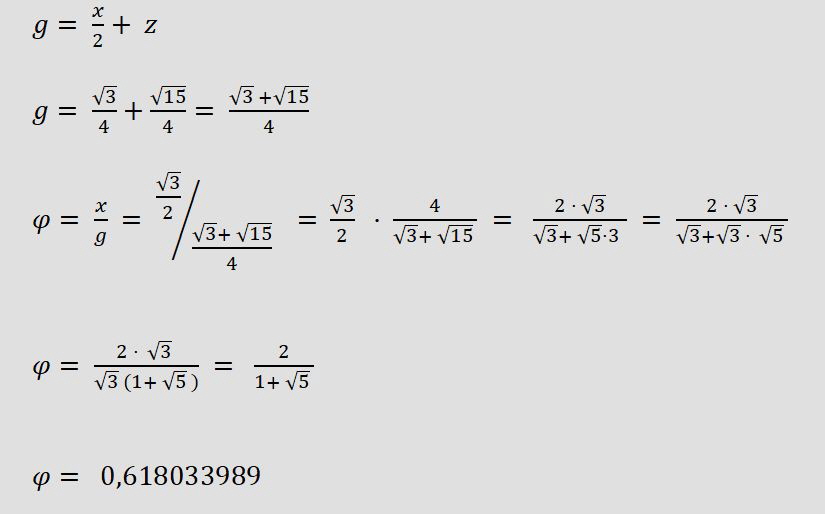
Einsetzen für Gesamtabschnitt g auf x-Achse

Niemeyer_f3
[Home] [FAQ] [K - O] [N 2]